2340 : 極楽湯
CITIC International Assets Management Limited、
マーチャント・バンカーズ株式会社、当社による
業務・資本提携に関する基本合意について
極楽湯は中国を中心とする東アジアでの温泉事業を展開するため金融及び投資分野において強みを持つ、中国最大の金融グループの一つであるCITICグループの投資運用会社CITIC International Assets Management Limited(CIAM社)とマーチャント・バンカーズ株式会社(MBK社)と業務・資本提携契約を締結した。
極楽湯とCIAM社とMBK社の3社で、合弁会社を設立し、中国での温浴事業における展開を共同して進めていく。合併会社への出資比率は順に40、30、30%である。
●システム解析について
別に日記に書く必要も無いのですが、あえて書くことを意識するとモチベーションを保てるような気がしたのでちょくちょく書いていこうかと決めました。かっちりとした解析を行えていないかとも思いますので、良い解析方法などがあったら教えてください。
いつしか作ってみた適当な指標について解析を行った。この指標(VVRとでも勝手に呼ぶ)は一定期間の株価を放物線近似し、そこから株価の方向を推定しちょろちょろちょろっとすると得られるものである。
2009年8月12日から過去1400営業日間のデータを用いて、ある日のVVRに対し翌日から50日後までの間、株価がその日の終値に対し最大何倍、最小何分の1になるのかを調べる。使用したVVRの期間は50日であり各日時において特定の銘柄を除き全ての銘柄を対象とする。除いた銘柄は以下のとおりである。
・ある日の売買代金が10,000,000円以下のもの。
・VVRの計算に必要な期間中に取引が行われていない日、または株式分割があるもの
・翌日から50日後までの間に株式分割が行われているもの
・2009年11月1日において上場廃止しているもの
また得られた結果はある日の株価によって分けて求める。1円~3円、4円~10円、10円~30円、30円~100円・・・といった具合に分ける。これは価格によって倍率の変化量が違うため適当に分割した。
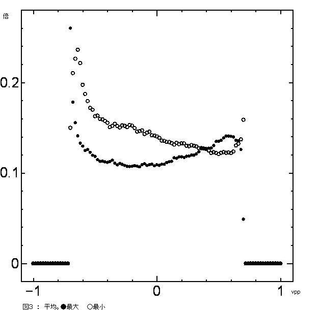
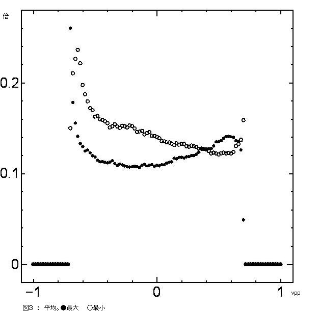
得られた結果は図のとおりである。横軸にn日のVVR、縦軸に倍率をとっている。ここで倍率とは、n日の終値をcn、n+1日からn+51日までの間の最大の終値をcmax、最小の終値をcminとし、
・利益に対する倍率はcmax/cn-1
・損失に対する倍率はcn/cmin-1
として求めることにする。したがって縦軸の値が最大、最小ともに1であり、またn日の終値が100円であった場合、n+1日からn+51日のうちに終値は最大で200円をつけ最小で50円をつけたことになる。
図は株価帯100円~300円のものである。
図1を見ると多くの株価は50日間の間に最大で0倍~2倍になっていることが分かる。わずかにvvrが最小及び最大となる値の周辺でより多くの利益を出すことができると見れる。
しかし図2を見るとvvrが最小となる値の付近では他のvvrの値に比べ損失が大きいことが分かる。
図3にそれぞれの平均をプロットした。これを見るとvvrが十分小さいときか、十分大きいときに利益を取る可能性があることが分かる。また損失はvvrが大きくなるにつれて徐々に小さくなることが分かる。
他の価格帯においても似たようなプロファイルが得られた。
とはいえ、果たしてこうゆう解析に意味があるのかと問われるとあると断言はできない。RSIなどの一般的な指標についても同様の手法で解析し比較する必要があると思う。RSIは結構適当なのでこういった偏りでないと勝手に予想しているがまぁどうだろう。vvrはその変化にも注目できそうな気もするので変化も取り入れて解析するべきだろうし。突っ込みどころは満載ではあるが、一応vvrの特性としてこのようなものが得られた。


